Hà Nội – Trong đợt vận hành đầu tiên của hệ thống camera AI giám sát giao thông, hàng trăm phương tiện gồm ôtô và xe máy đã bị phát hiện vi phạm trật tự an toàn giao thông.
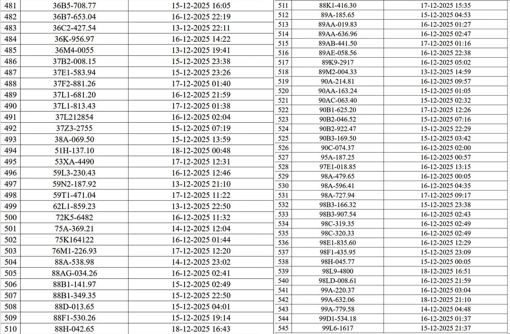
Theo thông tin từ Phòng Cảnh sát giao thông – Công an TP Hà Nội, từ ngày 10/12 đến 18/12, hệ thống camera AI đã ghi nhận và xử lý 545 trường hợp vi phạm (đợt 1). Các thông báo phạt nguội đã được gửi đến chủ phương tiện liên quan để thực hiện nghĩa vụ theo quy định.
Camera AI phát hiện vi phạm như thế nào?
Sau khi hình ảnh vi phạm được ghi nhận, lực lượng CSGT tiến hành rà soát, đối chiếu thông tin trước khi phát hành thông báo chính thức tới người vi phạm, nhằm đảm bảo tính chính xác và khách quan.
Hiện nay, Hà Nội đang vận hành 1.873 camera AI được lắp đặt tại 195 nút giao thông trọng điểm trên toàn thành phố. Theo cơ quan chức năng, hệ thống này có khả năng nhận diện hơn 20 hành vi vi phạm giao thông khác nhau.
Danh sách gần 550 ôtô, xe máy bị phạt nguội đợt 1









Các lỗi vi phạm phổ biến bị camera AI ghi nhận
Trong thời gian vận hành vừa qua, nhiều lỗi vi phạm thường gặp đã được hệ thống phát hiện tự động, bao gồm:
- Không chấp hành tín hiệu đèn giao thông
- Không đội mũ bảo hiểm
- Đi ngược chiều
- Không thắt dây an toàn
- Sử dụng điện thoại khi điều khiển phương tiện
Ngoài ra, camera AI còn có thể nhận diện các hành vi vi phạm khác như:
- Không bật tín hiệu khi chuyển làn
- Không tuân thủ vạch kẻ đường
- Dừng, đỗ xe sai quy định
- Chở quá số người cho phép
- Đón, trả khách không đúng nơi quy định
- Che, dán hoặc làm biến dạng biển số
- Chở hàng cồng kềnh, xe tự chế…

Cách tra cứu phạt nguội tại Hà Nội
Chủ phương tiện và người điều khiển có thể chủ động kiểm tra thông tin phạt nguội thông qua các kênh chính thức sau:
- Ứng dụng VNeTraffic
- Cổng thông tin điện tử của Cục Cảnh sát giao thông – Bộ Công an
- Hoặc liên hệ trực tiếp Đội Chỉ huy giao thông và điều khiển đèn tín hiệu giao thông (Phòng CSGT – CATP Hà Nội)
- Địa chỉ: 54 Trần Hưng Đạo, phường Cửa Nam, TP Hà Nội
- Điện thoại: 0692.196.440
Việc chủ động tra cứu và chấp hành xử lý vi phạm sẽ giúp người dân tránh phát sinh các rắc rối liên quan đến đăng kiểm, sang tên phương tiện hoặc xử phạt bổ sung sau này.
